HP TET Result: हिमाचल शिक्षा बोर्ड ने जारी किया टेट रिजल्ट, TGT मेडिकल में 17% ही उत्तीर्ण, यहां देखें परिणाम
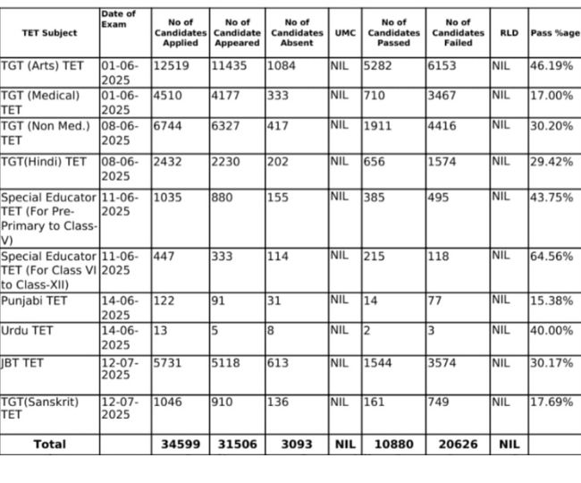
HP TET Result 2025 हिमाचल प्रदेश स्कूल शिक्षा बोर्ड धर्मशाला ने अध्यापक पात्रता परीक्षा का परिणाम घोषित किया है। टीजीटी मेडिकल का परिणाम सबसे खराब रहा जिसमें केवल 17% अभ्यर्थी ही पास हुए। इस परीक्षा में 4177 अभ्यर्थी शामिल हुए थे जिनमें से केवल 710 उत्तीर्ण हुए। HPBOSE TET Result TGT मेडिकल नॉन मेडिकल और आर्ट्स के परिणाम बोर्ड की वेबसाइट पर उपलब्ध हैं।

जागरण टीम, धर्मशाला। HP TET Result 2025, हिमाचल प्रदेश स्कूल शिक्षा बोर्ड धर्मशाला ने अध्यापक पात्रता परीक्षा का परिणाम घोषित कर दिया है। टीजीटी मेडिकल का परिणाम सबसे खराब है, इसमें 17 प्रतिशत अभ्यर्थी ही पास हुए हैं। इस स्ट्रीम में 4177 अभ्यर्थी बैठे थे, जिनमें से 710 ही उत्तीर्ण हुए हैं जबकि 3467 फेल हुए हैं।
अध्यापक पात्रता परीक्षा की कसोटी पर 20,626 अभ्यर्थी खरे नहीं उतरे हैं। हिमाचल प्रदेश स्कूल शिक्षा बोर्ड की ओर से टेट के दस विषयों के लिए पहली, आठ, 11, 14 जून व 12 जुलाई को प्रदेशभर किया गया था। कुल 31,506 अभ्यर्थी परीक्षा में बैठे थे, जिसमें से 10,880 अभ्यर्थी ही परीक्षा को उत्तीर्ण कर पाएं हैं।
कुल परिणाम 34.53 प्रतिशत रहा है। शिक्षा बोर्ड की ओर से घोषित परीक्षा परिणाम के तहत अध्यापक पात्रता परीक्षा जून-2025 के लिए कुल 34,599 अभ्यर्थियों ने आवेदन किया था। जिसमें से 3093 अभ्यर्थी परीक्षा से अनुपस्थित रहे थे।
शिक्षा बोर्ड सचिव डा. मेजर विशाल शर्मा के मुताबिक उपरोक्त अध्यापक पात्रता परीक्षा का परिणाम पूर्व में जारी अस्थायी उत्तरकुंजी में दर्ज उत्तरों के संदर्भ में परीक्षार्थियों की ओर से दर्ज करवाई गई आपत्तियों की विषय विशेषज्ञों से समीक्षा करवाने के बाद तैयार की गई अंतिम उत्तरकुंजी के अनुसार तैयार किया गया है। परिणाम बोर्ड की वेबसाइट पर उपलब्ध है।
इस तरह चेक करें रिजल्ट
अभ्यर्थी www.hpbose.org पर अपना परिणाम देख सकते हैं। परीक्षार्थी वेबसाइट पर टेट जून, 2025 लिंक पर जाकर अपना रोल नंबर या एप्लीकेशन डालकर अपना परीक्षा परिणाम प्राप्त कर सकते हैं। उक्त उत्तीर्ण परीक्षार्थियों की सुविधा के लिए प्रमाणपत्र डीजी लाकर पर भी उपलब्ध करवाए जा रहे हैं।
टीजीटी आर्ट्स में 5282 उत्तीर्ण
टीजीटी आर्टस के लिए पहली जून को परीक्षा हुई थी। इस परीक्षा के लिए 12,519 ने आवेदन किया था। परीक्षा में 11,435 परीक्षार्थी बैठे। 1084 अनुपस्थित रहे। 5282 उत्तीर्ण जबकि 6153 अनुत्तीर्ण हुए हैं। परीक्षा परिणाम 46.19 प्रतिशत रहा है।
टीजीटी नॉन मेडिकल में 4416 अनुत्तीर्ण
टीजीटी नान मेडिकल के लिए आठ जून को परीक्षा हुई। परीक्षा के लिए 6744 ने आवेदन किया। 6327 ने परीक्षा दी। 417 अनुपस्थित रहे। 1911 उत्तीर्ण जबकि 4416 अनुत्तीर्ण हुए। परिणाम 30.20 प्रतिशत रहा।
20 प्रतिशत रहा हिंदी टेट का परिणाम
टीजीटी हिंदी के लिए आठ जून को परीक्षा हुई। परीक्षा के लिए 2432 ने आवेदन किया। 2230 ने परीक्षा दी। 202 अनुपस्थित रहे। 656 उत्तीर्ण, जबकि 1574 अनुत्तीर्ण हुए। परिणाम 20.42 प्रतिशत रहा।
सबसे बेहतर रहा स्पेशल एजुकेटर का परिणाम
स्पेशल एजुकेटर प्री प्राइमरी से कक्षा पांच के लिए 11 जून को परीक्षा हुई। 1035 ने आवेदन किया। 880 ने परीक्षा दी। 155 अनुपस्थित रहे। 385 उत्तीर्ण जबकि 495 अनुत्तीर्ण हुए। परिणाम 43.75 प्रतिशत रहा। स्पेशल एजुकेटर कक्षा छठी से जमा दो के लिए 11 जून को परीक्षा हुई। 447 ने आवेदन किया। 333 ने परीक्षा दी। 114 अनुपस्थित रहे। 215 उत्तीर्ण जबकि 118 अनुत्तीर्ण रहे। परिणाम 64.56 प्रतिशत रहा।

पंजाबी में 14 व उर्दू में दो उत्तीर्ण
पंजाबी के लिए 14 जून को परीक्षा हुई। 122 ने आवेदन किया। 91 ने परीक्षा दी। 31 अनुपस्थित रहे। 14 उत्तीर्ण जबकि 77 अनुत्तीर्ण रहे। परिणाम 15.38 प्रतिशत रहा। उर्दू के लिए 14 जून को परीक्षा हुई। 13 ने आवेदन किया। 5 ने परीक्षा दी। 8 अनुपस्थित रहे। 2 उत्तीर्ण जबकि 3 अनुत्तीर्ण रहे। परिणाम 40 प्रतिशत रहा।
1544 ने उत्तीर्ण किया जेबीटी टेट
जेबीटी के लिए 12 जुलाई को परीक्षा हुई। 5731 ने आवेदन किया। 5118 ने परीक्षा दी। 613 अनुपस्थित रहे। 1544 उत्तीर्ण जबकि 3574 अनुत्तीर्ण रहे। परिणाम 30.17 प्रतिशत रहा।
161 ने पास किया संस्कृत टेट
संस्कृत के लिए 12 जुलाई को परीक्षा हुई। 1046 ने आवेदन किया। 910 ने परीक्षा दी। 136 अनुपस्थित रहे। 161 उत्तीर्ण जबकि 749 अनुत्तीर्ण रहे। परिणाम 17.69 प्रतिशत रहा।

कमेंट्स
सभी कमेंट्स (0)
बातचीत में शामिल हों
कृपया धैर्य रखें।